杨鸿励、徐丽娟等:长英质地壳熔融过程的锌同位素分馏与高硅花岗岩成因【Geological Society of America Bulletin,2025】
发布时间:2025-12-16 作者: 阅读:253次
高硅花岗岩(SiO2 > 70 wt%)被视为强烈地壳分异作用的产物,其成因研究对于揭示大陆地壳组成的演化具有重要意义。然而其形成机制长期存在“极端结晶分异”与“低程度部分熔融”两种解释,传统地球化学指标因多解性难以区分。而花岗质岩石的锌(Zn)同位素组成具有高度不均一性,其成因机制与部分熔融、岩浆结晶分异或晚期流体出溶等过程有关。尽管有一定研究分别揭示了不同地质过程对花岗岩Zn同位素的影响,但目前尚缺乏针对高硅花岗岩形成过程中部分熔融的Zn同位素分馏机制的定量化系统研究,尤其是熔融温度与源区矿物组合在这一过程中的具体作用。
华北克拉通蚌埠的侏罗纪淡色花岗岩在岩石学、矿物学和地球化学方面具有明确特征,其形成被认为是富黑云母、含石榴子石的长英质源区在低温条件下熔融的结果。相比之下,大别山花岗岩类则被认为来源于富石榴子石残留的镁铁质源区在高温条件下的熔融。因此,这两类花岗岩为探讨上述问题提供了理想样品。
针对上述问题中国地质大学(北京)科学研究院的博士生杨鸿励在徐丽娟副教授指导下与合作者一起,系统地对华北克拉通蚌埠的淡色花岗岩(SiO2 > 70 wt%)以及邻区大别-苏鲁造山带的低硅花岗岩类(SiO2 < 70 wt%)开展了Zn同位素对比研究,取得如下创新型认识:
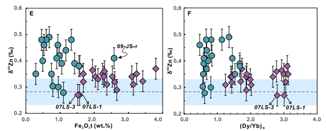
(1)大别山花岗岩和蚌埠淡色花岗岩的δ66Zn值均与流体出溶指标(Ba/Th、Ba/Nb)和岩浆分异指标(MgO、TiO2、Fe2O3t、(Dy/Yb)N)无明显相关性(图2),表明结晶分异、流体出溶过程不是控制该花岗岩Zn同位素组成变化的主因。
(2)大别山花岗岩的δ66Zn略高于洋中脊玄武岩及其潜在源岩(图1)。批式熔融模拟结果显示,在加厚镁铁质下地壳部分熔融过程中,Zn同位素的分馏有限(~0.04‰)(图3)。
(3)蚌埠淡色花岗岩的δ66Zn最高可达0.49‰,显著高于其潜在源岩(图1),其δ66Zn与全岩SiO2含量呈正相关,而与Zn含量呈负相关(图1),指示含黑云母的长英质源区在部分熔融过程中可能产生较强的Zn同位素分馏。不一致熔融模拟进一步表明,在约700-710℃的低温条件下,熔体-残留体之间的Δ66Znmelt-residue可达约0.20‰。因此,较低的熔融温度是导致蚌埠淡色花岗岩形成过程中Zn同位素发生显著分馏的关键因素(图3)。
本研究结果表明:与镁铁质下地壳源区相比,含黑云母的长英质源区在部分熔融过程中更易产生显著的Zn同位素分馏。Zn同位素分馏的大小主要受熔融温度及源区矿物组合的共同制约,因此可作为示踪地壳分异过程的潜在有效指标。长英质地壳熔融中所呈现的这一特征性Zn同位素行为,为高硅花岗岩的成因约束提供了新的重要线索。

图1 Zn同位素与(A)Zn含量和(B)SiO2含量的关系图


图2 大别山花岗岩与蚌埠淡色花岗岩中Zn同位素与Ba/Th(A)、Ba/Nb(B)、MgO(C)、TiO2(D)、Fe2O3t(E)及(Dy/Yb)N(F)的关系图

图3 (A)大别山花岗岩的Zn同位素组成 与(Dy/Yb)N的关系。模拟线分别表示源岩Zn同位素组成为0.26‰和0.30‰时的批式模拟结果。(B)蚌埠淡色花岗岩的Zn同位素组成与Zn含量关系,模拟线表示基于大别山片麻岩的不一致熔融模拟结果
本研究受到国家自然科学基金项目(42121002、42473017和41730214)、国家科技部重点研发计划“深部碳、氧循环的金属同位素示踪技术”(2019YFA0708400)和香港RGC基金(JLFS/P-702/24和17307918)等联合资助,相关研究成果已经发表于国际主流期刊Geological Society of America Bulletin上。
论文信息: Yang, H-L; Xu, L-J*; Su, Y-W; Liu, S-A; Zhao, GC. (2025) Strong zinc isotope fractionation during felsic crust melting: Implications for tracing the origins of high-silica granites. Geological Society of America Bulletin.